Is Ishtar Rin?
Archer's true identity is Ishtar, a Pseudo-Servant summoned into the body of Rin Tohsaka. Ishtar is the goddess of fertility of Babylonian mythology...
Timely insights and essential news for informed readers.
Archer's true identity is Ishtar, a Pseudo-Servant summoned into the body of Rin Tohsaka. Ishtar is the goddess of fertility of Babylonian mythology...
In 1946, Morgan beat to death the husband of his 32-year-old girlfriend and buried the body in a shallow grave.Joe “Pegleg†Morgan. Birth 10 Apr 1929 ...
What you pay Monthly Maintenance Fee $25 Checks Free standard checks or discounted select styles Online Statements Free Paper Statements Free, including ...
The turnaround time for all other books is 4-7 working days. If express delivery is selected, the turnaround time for all large landscape books, large po...
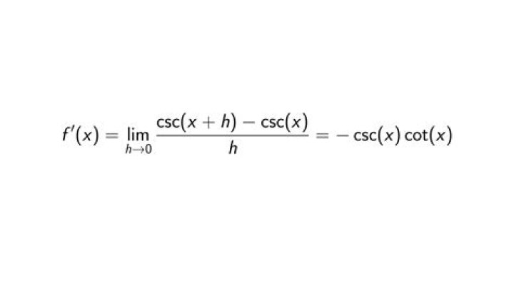
The derivative of any constant term is 0, according to our first rule. This makes sense since slope is defined as the change in the y variable for a give...
Olympic swimmer Johnny Weissmuller played Tarzan in more than 10 films from 1932's Tarzan the Ape Man to 1948's Tarzan and the Mermaids. Tony G...
Amerikanische BH Größen in deutscher Größe USA EU/Deutschland 34AA 75A 34A 75B 34B 75C 34C 75D People also ask, was ist die Größe M in der USA?Für den Si...
COPENHAGEN F/C 5ct Price: $21.65 In stock COPENHAGEN F/C Can Price: $4.75 In stock COPENHAGEN L/C Can Price: $4.75 In stock COPENHAGEN W/G L/C 5ct Price:...
ASIA TIME ZONESThese time zones span from UTC (GMT) +4 to UTC (GMT) +10. The Asian country of Nepal is five hours and forty-five minutes ahead of UTC (GM...
FITS SCREEN SIZES of 11.6 inches DIAGONALLY MEASURED - WIDESCREEN MONITORS - Aspect Ratio 16:9 - Filter Size: Width: 10 1/8", Height: 5 11/16" (256mm x 1...